2024年文山州公安局警务辅助人员招聘笔试温馨提示
按照《2024年文山州公安局警务辅助人员招聘公告》要求,文山州公安局警务辅助人员(以下简称“辅警”)招聘经过现场报名、资格复审后进入笔试环节,现将笔试有关事项提示如下。
一、笔试时间
2024年11月30日上午09:00—11:00
二、笔试科目
行政职业能力测试
三、笔试地点
文山市第四中学(文山市建设路219号)
四、参加笔试人员名单
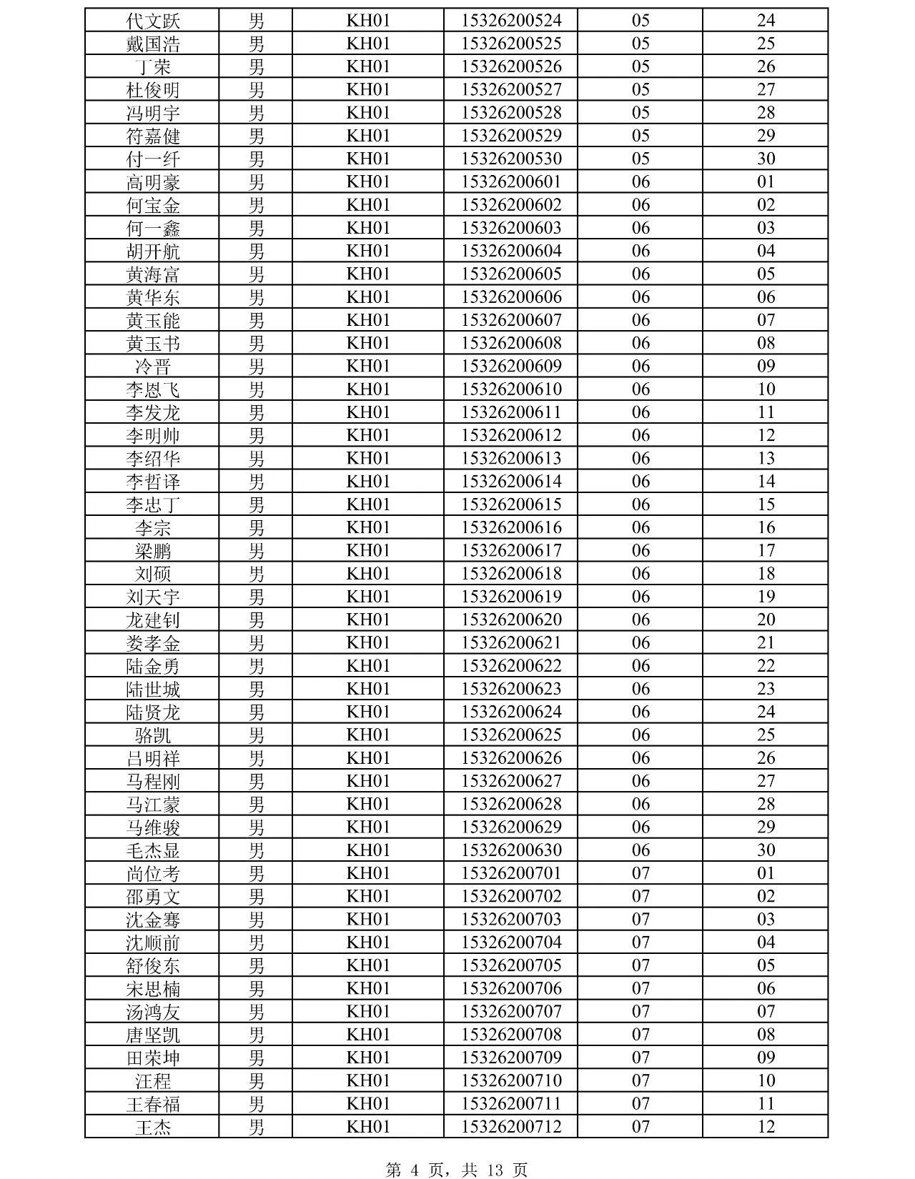
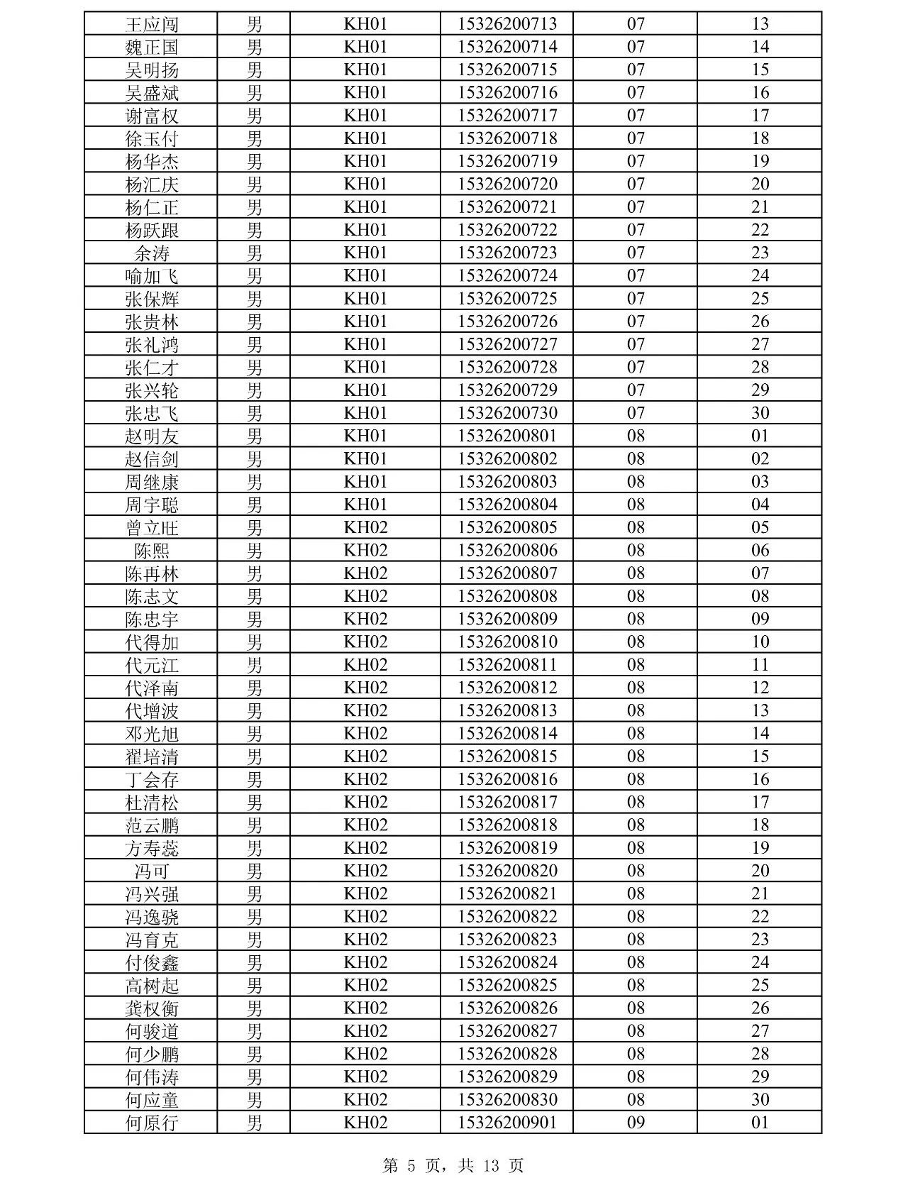
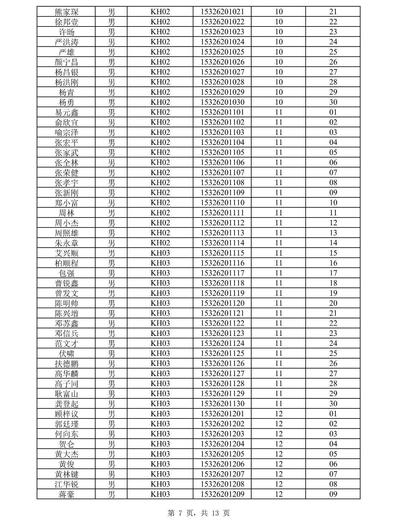
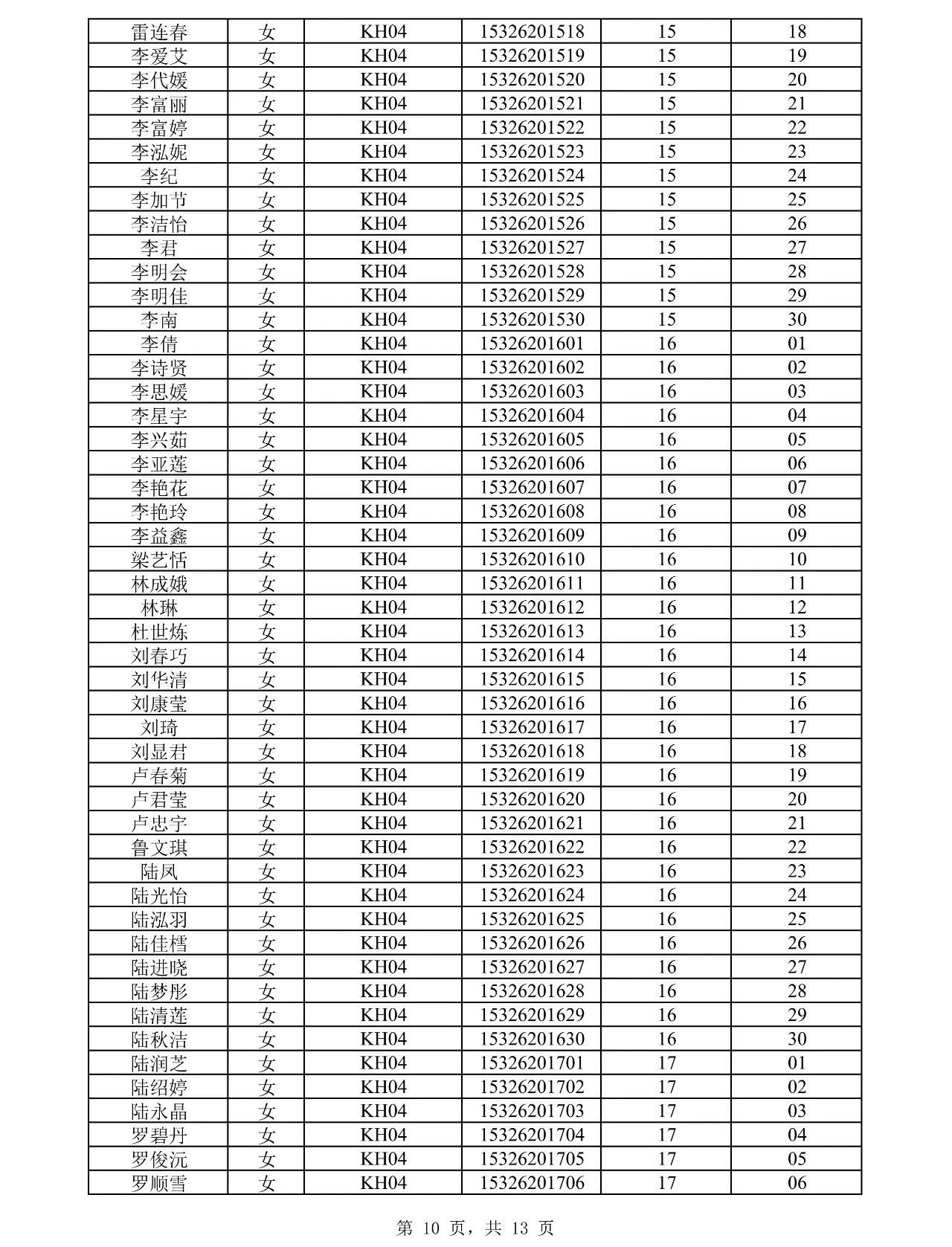
经资格复审合格进入笔试环节的考生,详见附件《2024年文山州公安局辅警招聘进入笔试人员名单》。
五、准考证领取事宜
请通过资格复审考生于2024年11月29日上午8:30-12:00,下午14:30-17:30携带本人居民身份证到文山州公安局警务技能反恐训练馆领取准考证。
六、关于面试
笔试结束后,机关文职岗按照实际招聘人数1:2的比例确定进入面试人员名单;留置看护勤务岗按照实际招聘人数1:5的比例划定、确定进入面试人员名单,末位并列的一并进入面试;若实际招聘人数与实际参考人数之比不足1:5的,以实际参考人数为准。
七、考生须知
(一)考生必须携带准考证、居民身份证,按相关要求前往考点学校参加笔试。
(二)本次考试不统一配发文具,考生自备黑色墨水(中性)笔、签字笔、2B铅笔、橡皮等文具。
(三)因考点学校停车位有限,建议考生不要单独驾车前往,可选乘公共交通工具前往考点学校。
(四)移动电话(手机)、电子记事本等电子设备及考试相关资料须按规定放在指定位置,严禁带至座位,一经发现,作违纪处理。
(五)考试结束前不得提前交卷、离场,个人问题提早解决。开考30分钟后不得进入考场。
附件:1.2024年文山州公安局辅警招聘进入笔试人员名单
2.文山市第四中学平面示意图及考场示意图
文山州公安局
2024年11月28日















来源:https://mp.weixin.qq.com/s/QCJRLTScYz5x18nRadr82Q